電氣百科:弄懂這8個要點讓你成為電氣儀表專家

內容列表:
01. SIS與ESD、DCS、PLC傻傻分不清楚?看了這個才知道!
02. 儀表的“線制”學問有多深?
03. 4-20mA信號究竟能夠傳輸多遠?
04. 學儀表不懂工藝PID,硬傷得治!
05. 自動化儀表“溝通”的十一種“語言”!
06. SIS安全系統下,用戶、設計院、廠家應該如何看待SIL認證!
07. 無需洪荒之力,九個步驟輕松判斷DCS故障!
08. 化工儀表常用計算公式,你會幾個?
01 SIS與ESD、DCS、PLC傻傻分不清楚?看了這個才知道!
SIS與ESD、DCS、PLC四者,在化工生產過程中,常常被誤解,本文從四者最基本的概念,到四者之間具體的關系進行逐一講解,幫助儀表人了解并掌握。
SIS與DCS之間的區別
SIS與DCS在石油、石化生產過程中分別起著不同的作用,如下圖所示:生產裝置從安全角度來講,可分為3個層次:第一層為生產過程層,第二層為過程控制層,第三層為安全儀表系統停車保護層。

SIS與ESD之間的區別
SIS是系統化的概念,更關注整體性的概念安全型的現場檢測器件(變送器,儀表,傳感器)-> 安全型 A -》安全型控制器-安全型的DO -》安全型的現場執行器件(安全關斷閥,泄壓閥,保護器等)。
而ESD通常是指,安全控制系統廠家生產的,安全型控制器,(CPU),IO,等純控制系統的概念。
從本質上來講,SIS 的硬件系統不光包括,SIS控制器及IO(例如 Triconex,HIMA,西門子400FH)。
還應包括所有跟控制器接口的其他輸入部件,例如獲得TUV SIL認證的傳感器,變送器,檢測裝置;
還應該包括所有輸出部件,如獲得 TUV SIL認證的執行器(液壓安全執行器,氣動安全執行器,電動型安全執行器),
還應該有獲得認證的現場設備。要求嚴格的現場,閥門本體也必須是有TUV 證書的。
例如核電廠的安全閥不光是鍋爐與壓力容器質檢合格,還應該有核檢證書,還應該有 TUV的安規證書,明確標明是SIL幾等級。
ESD是生產廠家的安全性控制器用在不同的場合,根據不同的用途,有著這些不同的叫法,從理論上說,只有ESD,“未必” 會是個完整的SIS控制系統。 ESD僅僅是 SIS中的一環,而且是在實體硬件中,是最重要的一環。
DCS與PLC之間的區別
1、從發展的方面來說:
DCS從傳統的儀表盤監控系統發展而來。因此,DCS從先天性來說較為側重儀表的控制,比如我們使用的YOKOGAWA CS3000 DCS系統甚至沒有PID數量的限制(PID,比例微分積分算法,是調節閥、變頻器閉環控制的標準算法,通常PID的數量決定了可以使用的調節閥數量)。
PLC從傳統的繼電器回路發展而來,最初的PLC甚至沒有模擬量的處理能力,因此,PLC從開始就強調的是邏輯運算能力。
2、從系統的可擴展性和兼容性的方面來說:
市場上控制類產品繁多,無論DCS還是PLC,均有很多廠商在生產和銷售。對于PLC系統來說,一般沒有或很少有擴展的需求,因為PLC系統一般針對于設備來使用。一般來講,PLC也很少有兼容性的要求,比如兩個或以上的系統要求資源共享,對PLC來講也是很困難的事。而且PLC一般都采用專用的網絡結構,比如西門子的MPI總線性網絡,甚至增加一臺操作員站都不容易或成本很高。
DCS在發展的過程中也是各廠家自成體系,但大部分的DCS系統,比如橫河YOKOGAWA、霍尼維爾、ABB等等,雖說系統內部(過程級)的通訊協議不盡相同,但操作級的網絡平臺不約而同的選擇了以太網絡,采用標準或變形的TCP/IP協議。這樣就提供了很方便的可擴展能力。在這種網絡中,控制器、計算機均作為一個節點存在,只要網絡到達的地方,就可以隨意增減節點數量和布置節點位置。另外,基于windows系統的OPC、DDE等開放協議,各系統也可很方便的通訊,以實現資源共享。
3、從數據庫來說:
DCS一般都提供統一的數據庫。換句話說,在DCS系統中一旦一個數據存在于數據庫中,就可在任何情況下引用,比如在組態軟件中,在監控軟件中,在趨勢圖中,在報表中……而PLC系統的數據庫通常都不是統一的,組態軟件和監控軟件甚至歸檔軟件都有自己的數據庫。為什么常說西門子的S7 400要到了414以上才稱為DCS?因為西門子的PCS7系統才使用統一的數據庫,而PCS7要求控制器起碼到S7 414-3以上的型號。
4、從時間調度上來說:
PLC的程序一般不能按事先設定的循環周期運行。PLC程序是從頭到尾執行一次后又從頭開始執行。(現在一些新型PLC有所改進,不過對任務周期的數量還是有限制)而DCS可以設定任務周期。比如,快速任務等。同樣是傳感器的采樣,壓力傳感器的變化時間很短,我們可以用200ms的任務周期采樣,而溫度傳感器的滯后時間很大,我們可以用2s的任務周期采樣。這樣,DCS可以合理的調度控制器的資源。
5、從網絡結構發面來說:
一般來講,DCS慣常使用兩層網絡結構,一層為過程級網絡,大部分DCS使用自己的總線協議,比如橫河的Modbus、西門子和ABB的Profibus、ABB的 CAN bus等,這些協議均建立在標準串口傳輸協議RS232或RS485協議的基礎上。現場IO模塊,特別是模擬量的采樣數據(機器代碼,213/掃描周期)十分龐大,同時現場干擾因素較多,因此應該采用數據吞吐量大、抗干擾能力強的網絡標準。基于RS485串口異步通訊方式的總線結構,符合現場通訊的要求。
IO的采樣數據經CPU轉換后變為整形數據或實形數據,在操作級網絡(第二層網絡)上傳輸。因此操作級網絡可以采用數據吞吐量適中、傳輸速度快、連接方便的網絡標準,同時因操作級網絡一般布置在控制室內,對抗干擾的要求相對較低。因此采用標準以太網是最佳選擇。TCP/IP協議是一種標準以太網協議,一般我們采用100Mbit/s的通訊速度。
PLC系統的工作任務相對簡單,因此需要傳輸的數據量一般不會太大,所以常見的PLC系統為一層網絡結構。過程級網絡和操作級網絡要么合并在一起,要不過程級網絡簡化成模件之間的內部連接。PLC不會或很少使用以太網。
6、從應用對象的規模上來說:
PLC一般應用在小型自控場所,比如設備的控制或少量的模擬量的控制及聯鎖,而大型的應用一般都是DCS。當然,這個概念不太準確,但很直觀,習慣上我們把大于600點的系統稱為DCS,小于這個規模叫做PLC。我們的熱泵及QCS、橫向產品配套的控制系統一般就是稱為PLC。
說了這么多PLC與DCS的區別,但我們應該認識到,PLC與DCS發展到今天,事實上都在向彼此靠攏,嚴格的說,現在的PLC與DCS已經不能一刀切開,很多時候之間的概念已經模糊了。
現在,我們來討論一下彼此的相同(似)之處。
1)從功能來說:
PLC已經具備了模擬量的控制功能,有的PLC系統模擬量處理能力甚至還相當強大,比如橫河FA-MA3、西門子的S7 400、ABB 的ControlLogix 和施耐德的Quantum系統。而DCS也具備相當強勁的邏輯處理能力,比如我們在CS3000上實現了一切我們可能使用的工藝聯鎖和設備的聯動啟停。
2)從系統結構來說:
PLC與DCS的基本結構是一樣的。PLC發展到今天,已經全面移植到計算機系統控制上了,傳統的編程器早就被淘汰。小型應用的PLC一般使用觸摸屏,大規模應用的PLC全面使用計算機系統。和DCS一樣,控制器與IO站使用現場總線(一般都是基于RS485或RS232異步串口通訊協議的總線方式),控制器與計算機之間如果沒有擴展的要求,也就是說只使用一臺計算機的情況下,也會使用這個總線通訊。但如果有不止一臺的計算機使用,系統結構就會和DCS一樣,上位機平臺使用以太網結構。這是PLC大型化后和DCS概念模糊的原因之一。
3)PLC和DCS的發展方向:
小型化的PLC將向更專業化的使用角度發展,比如功能更加有針對性、對應用的環境更有針對性等等。大型的PLC與DCS的界線逐步淡化,直至完全融和。
DCS將向FCS的方向繼續發展。FCS的核心除了控制系統更加分散化以外,特別重要的是儀表。FCS在國外的應用已經發展到儀表級。控制系統需要處理的只是信號采集和提供人機界面以及邏輯控制,整個模擬量的控制分散到現場儀表,儀表與控制系統之間無需傳統電纜連接,使用現場總線連接整個儀表系統。(目前國內有橫河在中海殼牌石化項目中用到了FCS,儀表級采用的是智能化儀表例如:EJX等,具備世界最先進的控制水準)。
02 儀表的“線制”學問有多深?
既然有二線制、三線制和四線制之分,那么這些接線之間,可以互相更換接線方式嗎?下面一起看看,如何二線改四線,四線改二線?
從上述可知各種線制變送器都能存在,那總是有存在的理由,否則就不會有那么多的線制了,由用戶來改動線制是很困難的,再者實際意義也不大。
如果要把傳輸信號為0-10mA.DC的四線制變送器改為二線制,首先遇到的問題,就是其起始電流為零,在電流為零狀態下,變送器的電子放大器是無法建立工作點的,因此將難于正常工作。如果用直流電源,并保證儀表原來的恒流特性,當變送器在負載電阻為0-1.5KΩ時,與其串聯的反饋動圈電阻2KΩ左右,當輸出為10mA時,這兩部分的電壓降將大于24V,也就是說用24V.DC供電,負載為0-1.5KΩ時,要保證恒流特性是不可能的,也就談不上用兩線制傳輸了。
四線制轉二線制原理
一、正向輸出(1、3短接,2接6,4接5,輸出5、6端)
1 -●
24VDC
2 +○ ○+ 6
發送端 接收端 4-20mA
4 +● ●- 5
4-20mA
3 -○
二、反向輸出(2、6短接,1接3,4接5,輸出3、4端)
1 -● ○- 3
24VDC
2 +○
發送端 接收端 4-20mA
6 +●
4-20mA
5 -○ ●+ 4
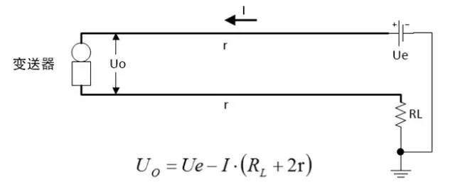
03 4-20mA信號究竟能夠傳輸多遠?
我國電氣自動化儀表從技術發展角度分類,主要分為DDZ-Ⅰ型、DDZ-Ⅱ型、DDZ-Ⅲ型和DDZ-S型等幾個類型,目前基本上都是電3型和電4型儀表,分別是指DDZ-Ⅲ型和DDZ-S型。4-20mA電流信號究竟能夠傳輸多遠?
4-20mA電流信號的傳輸距離主要與以下幾個因素有關:
1. 信號的激勵電壓Ue;
2. 儀表的最低工作電壓Umin;
3. 接收設備的負載(采樣)電阻RL;
4. 導線電阻r。

圖3:二線制變送器電流信號傳輸回路
其中,Uo是變送器的供電電壓,必須在滿載時(電流I=20mA)保證Uo≥Umin。
即:。根據這個公式,可以計算出在變送器處于最低工作電壓時,最大的導線電阻。假設:
已知:Ue=24V,I=20mA,RL=250Ω,Umin=12V。求出r的最大值為175Ω:
再根據導線電阻的計算公式:, 其中:
ρ——電阻率(銅電阻率=0.017,鋁電阻率=0.029)
L——線的長度(單位:米)
S——線的截面(單位:平方毫米)
注:電阻值與長度成正比,與截面積成反比。導線越長,電阻越大, 導線越粗,電阻越小。
以銅線為例,ρ= 0.017 Ω·mm2/m,即:橫截面積1mm2,長度1m的銅線電阻為0.017Ω。那么175Ω對應1mm2的導線長度為175/0.017=10294(米)。
因此,理論上4-20mA信號傳輸可達上萬米(根據不同激勵電壓和變送器的最低工作電壓等因素而定)。
04 學儀表不懂工藝PID,硬傷得治!
對工藝車間的任一工藝流程都離不開儀表系統的檢測、記錄及其控制。因為工藝車間的每一道工藝,每一個參數都是在儀表的控制下工作,只有在適當的工藝流程中安裝儀表,才能窺視整個工序的運行是否正常。因為儀表在工藝車間具有“人眼”的功能,因此可以說,工藝生產的實現,要靠先進的設備和儀表來完成。本文重點講解工藝人員和儀表人員共同完成的工藝管道流程圖,來幫助工藝和儀表人員互相學習,促進工作。
PID圖中設備畫法 :
編號,比方E-1由三臺換熱器并聯操作,其編號分別為E-1A,E-1B,E-1C(或E-1A/B/C);如P-1為兩臺泵(一臺操作,一臺備用),其編號為P-1A,P-1B(或P-1A/B)。
用細實線畫出裝置全部操作和備用的設備,在設備的鄰近位置(上下左右均可)注明編號(下畫一粗實線)、名稱及主體尺寸或重要特性編號及名稱應與工藝流程圖相一致,編號要領與"工藝流程圖"劃定相同但同一作用的設備由多臺構成(或備用)時,可在編號數字后加A,B,C。
設備的主體尺寸或特性的標注要領按不同外型或特性劃定如下:
a) 立式圓筒型:內徑ID×切線至切線高T/T,mm,
b) 臥式圓筒型:內徑ID×切線至切線長T/T,mm,
c) 長方型:長×寬×高,mm,
d) 加熱及冷換設備:標注編號、名稱及其特性(熱負荷、及傳熱面積)
e) 機泵, 設備大小可不按比例畫,但應有相對大小的觀點,有位差要求的設備,應表現其相對高度位置,
比如;熱旁路控制流程中的冷凝器和回流罐;設備內部構件的畫法與PFD圖劃定要求相同,相同作用的多臺設備應全部予以表現,并按生產歷程的要求表現其并聯或串聯的操作方法。對某些必要滿足泵的汽蝕余量或介質自流要求的設備應標注其距離地面的高度,一般塔類和某些容器均有此要求。對付落地的立式容器,該尺寸要求也可直接表現在有關數據表設備簡圖中 。
PID圖中管道畫法 :
1、裝置內所有操作、開停車及事故處置等管道及其閥門均應予表現,并用箭頭表現管內物料的流向。重要操作管道用粗實線表現,備用管道、開停工及事故處置管道、其他輔助管道均用細實線表現。
2、裝置內的吹掃管線、污油排放及放空管道只需畫出其重要的管道及閥門,并表現其與設備或工藝管道連接的位置
3、裝置內公用工程(水、蒸汽、燃料、密封油、沖洗油、化學藥劑等)可分不同系統按上述要求繪制公用工程的“管道及儀表流程圖”。各種物料一般在使用時所在圖紙用短實線示意,并標注物料的名稱,但對其所采用的儀表和閥門不得重復表現(一般只表現在公用工程PID中)。
4、管道的編號及標注要領:應憑據裝置的部門號和管內物料的屬性分別按流程次序編號,即每一種介質應分別次序編號,容許中心有預留號,如:工藝管道(代號P)中不同屬性物料管道之間可以留有空號同一物料流經多臺不同功效的設備時,每經一臺或一組設備后新編一個管號。
儀表的畫法:
應畫出裝置全部控制、測量、記載、指示、聯鎖等儀表。所有儀表均應分類編號,成套供應設備可與儀表專業協商確定編號原則代號和圖例。應將設備、管道、儀表等的代號和圖例同一畫在一張圖上,作為"管道及儀表流程圖"的一張圖編檔案號,一般均作為PID的第一張圖。
05 自動化儀表“溝通”的十一種“語言”!
每個儀表都有自己獨特的通訊協議,常見的有modbus通訊協議 、RS-232通訊協議、RS-485通訊協議 、HART通訊協議等等,那么這些通訊協議究竟是怎么工作的,有哪些優缺點呢?本文將重點介紹目前常見的幾種通訊協議!幫助儀表人學習。
通訊協議分類
常用的儀表通訊協議有:
modbus通訊協議RS-232通訊協議RS-485通訊協議HART通訊協議。MPI通信串口通信PROFIBUS通信工業以太網ASI通信PPI通信遠程無線通信TCPUDPS7profibuspofinetMPIPPIProfibus-DPDevicenetEthernet
06 SIS安全系統下,用戶、設計院、廠家應該如何看待SIL認證!
自安監局116號文件后,SIS安全系統也成了儀表廠家與儀表用戶的話題,對于儀表廠家來說,SIS系統下儀表如何選型?是問題;對于儀表用戶來說,什么情況下需要上SIS是問題?是問題!
SIS安全儀表系統在功能和規范上有諸多要求在安全認證上也是如此,如TUV和SIL認證,TUV屬于德國萊茵認證,產品取得TUV 標志認證,表明該產品已經通過TUV 南德或TUV萊茵獨立的測試和工廠審查,證明該產品滿足相關歐洲或國際標準的安全要求。
TUV 標志在歐洲乃至全球受到生產廠商和各國認證機構的廣泛認可;
SIL英文全稱:Safety integrity Level——安全完整性等級,是新引進的標準,SIL認證,國際上公認的一種功能安全認證,是根據國際電工委員會IEC頒布的功能安全標準IEC 61508(已轉化為國標GB/T 20438歸口標委會SAC/TC124/SC10)中對相關產品進行考核的認證的要求。需要做SIL認證的產品,都是使用可能對人、環境或財產造成較高危害的場合,考核的主要目的也是,不能因為產品本身的功能問題,引起人員的傷害、環境污染和財產損失。
現在國內化工企業對于SIL或者TUV基本上是知之甚少,導致了安監局讓做安全系統的時候手忙腳亂,根本不知在哪里入手。
07 無需洪荒之力,九個步驟輕松判斷DCS故障!
DCS系統在工業生產過程的廣泛應用,使可靠性、穩定性問題更加突出,也使人們對整個系統要求越來越高。人們希望DCS系統盡量少出故障,又希望DCS系統一旦出現故障,能盡快診斷出故障部位,并盡快修復,使系統重新工作。下面簡單介紹故障大體分類及故障診斷的一般方法。
DCS系統故障診斷步驟:
DCS系統一旦出現故障,正確分析和診斷故障發生的部位是當務之急。故障的診斷就是根據經驗,參照發生故障的環境和現象,來確定故障的部位和原因。這種診斷方法因DCS系統產品不同而有一定差別。
1)是否為使用不當引起的故障。這類故障常見的有供電電源錯誤、端子接線錯誤、模板安裝錯誤、現場操作錯誤等。
2)是否為DCS系統操作錯誤引起的故障。這類故障常見的有某整定參數整定錯誤、某設定狀態錯誤造成的。
3)確認是現場儀表設備故障還是DCS系統故障。若是現場一次儀表故障,修復相應現場儀表。
4)若是DCS系統本身的故障,應確認是硬件毛病或是軟件故障。
5)若是硬件故障,找出相應的硬件部位,更換模板。
6)若是軟件故障,還應確認是系統軟件或是應用軟件故障。
7)若是系統軟件有故障,可重新啟動看能否恢復,或重新裝載系統軟件重新啟動。
8)若是應用軟件故障,可檢查用戶編寫的程序和組態的所有數據,找出故障原因。
9)利用DCS系統的自診斷測試功能,DCS系統的各部分都設計有相應的自診斷功能,在系統發生故障時一定要充分利用這一功能,來分析和判斷故障的部位和原因。
08 化工儀表常用計算公式,你會幾個?
在儀表維修、調校中都會遇到儀表刻度的換算問題。儀表刻度的換算關系有:變送器測量參數與輸出信號的換算,顯示儀表輸入信號與顯示值的換算,儀表刻度換算實質就是儀表信號值與測量之間的換算。如何正確計算出確定的溫度,壓力,液位和流量對我們安全生產至關重要,那么本文重點為圈友分享儀表常用的一些計算公式,幫助大家快速獲取所需量。
(1)測量開口容器液位計算公式
測量開口容器液位時,壓力計通過取壓管與容器底側相連,即測量容器液位上部與液位底部的靜壓力,由測壓儀表的壓力指示值,可間接知道液位的高度,即:
H=P/ρg
式中:H——液位的高度;
P——測壓儀表的指示值;
ρ——液體的密度;
g——重力加速度;
以上關系是成立的條件是:壓力計的測量基準點與最低液位應一致,如果不在同一水平面,必須減去相應高度的一段液柱差。
(2)測量密封容器液位計算公式
測量密封容器液位時,其上、下部的壓力只差是恒量液位高低的尺度,但是液位高度還收到容器內介質壓力的影響,即:
在實際應用中,為了消除容器內壓力的影響,就在容器的上部增加一根取樣管,來測量容器內液位底部與液位上部的壓力差,這樣就等于把容器內壓力值減去了,即:
